
1) Le maillon le plus faible... jusqu'où résistent nos matériaux ?
1.1 CMU et rupture de Charge.
Il nous faut donc éviter qu’un seul des constituants du système travaille avec des charges supérieures à sa CMU (charge maximale utile), afin d’éviter la déformation du matériel.
Il n’est pas toujours simple sur les tableaux de fabricants de connaitre la CMU et la charge de rupture, tout cela est indiqué en déca Newton (daN) qui est l’unité de force. En bonne approximation : 1daN équivaut à 1,02Kg.
Le rapport entre CMU et charge de rupture est le suivant : CMU X Coefficient d’utilisation= Charge de rupture.
Les normes européennes imposent aux fabricants de matériel de levage de respecter des coefficients d’utilisation minima (ou coefficient de sécurité) à savoir : 4 pour les accessoires métalliques et les chaînes, 7 pour les élingues textiles.
1.2 Pour le métal.
1.2.1 Quand un seul élément est indiqué par le fabricant, il est aisé d’en déduire l’autre avec ce rapport d’un quart soit 25% de la charge de rupture.
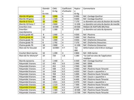
1.2.2 Quand le coefficient d’utilisation est supérieur à la norme, le constructeur s’empresse bien sûr de le mentionner c’est le cas des manilles HR (haute résistance). Par exemple sur le catalogue Wichard la manille inox HR droite de 10mm à une CMU à 1 200 kg et une Charge de rupture à 6 000kg soit un coefficient d’utilisation de 5, mentionné dans le document
A titre de comparaison la manille galvanisée droite de 10mm est annoncée, sur le catalogue Plastimo, avec une CMU à 320 kg et une charge de rupture à 1 300kg, on retrouve bien ici le rapport 1/4.
1.2.3 Quand il s’agit de pièces plus complexes qui ne correspondent pas à cette norme, le fabricant indique clairement la CMU et la Charge de rupture. Par exemple dans le catalogue Plastimo, le mousqueton à ouverture sous charge de chez Wichard diamètre 14 à une CMU à 880 et une charge de rupture à 1 500 kg soit un rapport de 1/2.
1.3 Pour ce qui est du textile :
Pour les lignes de mouillage, dyneema, manilles textiles, c’est plus compliqué : Les catalogues ne mentionnant que la Charge de Rupture
1.3.1 Pour les manilles textiles : cela est parfois simple, certains constructeurs précisent la CMU, ainsi celles de la corderie Cousin-Trestec qui affichent un coefficient d’utilisation de 5.

Ainsi pour remplacer une manille inox HR de 10mm (CMU 1.2T), il faut une manille textile de 12mm (CMU 1.3T)
1.3.2 Si pour le dyneema on peut admettre que la CMU est proche de 25% de la Charge de rupture en raison de son faible allongement (inférieur à 1%), et de ses qualités quasiment « métalliques ».
1.3.3 Pour le polyamide qui nous intéresse, les cordiers conseillent de ne pas dépasser 10% d’allongement en utilisation, ce qui pour ce matériau correspond de 20% à 25% de la charge de rupture, assimilable à un coefficient d’utilisation de 5 selon Meyer-Sansboeuf. Si on tient compte de l’indispensable présence d’une épissure (-10% de résistance) ou d’un nœud (-25% à -35% de résistance). Le coefficient d’utilisation de 6.5 soit 15 % de la charge de rupture semble très raisonnable, c’est celui adopté par Frederic Dallest et mis à l’épreuve avec succès dans un coup de vent dans le détroit de Lemaire avec des vents de 90 à 140 nœuds.
Nous ne sommes pas loin du coefficient de 7 définit par les normes européennes des engins de levage. L’American Boat and Yacht Council (ABYC) quant à lui spécifie un coefficient de 8
Pierre Lang qui a rompu coup sur coup des aussières, dont une de 22mm, dans un coup de vent à 60 nœuds, à bord de Thoe, 13 mètres et 9,5 tonnes, reprend les calculs. Il en conclut que le diamètre nominal d’un bout élastique en polyamide doit être de 2.5 fois le diamètre d’une chaîne grade 40, se basant cette fois ci non pas sur la CMU mais sur la Charge de Rupture Nominale, et rappelle au passage qu’un cordage en nylon (le polyamide) perd 15% de sa résistance quand il est mouillé. En approximant on peut définir qu’il est proche d’un coefficient de 10.
1.4 Du vieillissement
1.4.1. Pour le métal.
Si la rouille est un bon indicateur du vieillissement, Il ne faut pas négliger le vieillissement de la chaîne qui a travaillé au-delà de sa CMU ou de l’ancre qui est déformée : Toutes les deux devraient être changées !
Toute déformation métallique est suspecte.
Pour ce qui est de l’inox, il n’apprécie pas les chocs et peut casser sans se déformer, donc sans prévenir, à l’instar du Kevlar.
1.4.2 Pour le textile.
Tout lui fait dommage : l’eau, le soleil, et l’âge. Là aussi on n’hésitera pas à remplacer le textile qui a subi un coup de vent significatif. Il aura perdu significativement cette élasticité que nous recherchons, voir ci-dessous le tableau https://www.simafrance.com/fr/polyamide/194-cordage-nylon-3-8-torons-.html

Tout Polyamide raide a dépassé sa CMU initiale… ou sa date de péremption.
1.5 Application pratique.
En quoi ces notions ont de l’importance dans ce qui va suivre ? Les tableurs de Frederic Dallest annoncent le dérapage de l’ancre et le dépassement de CMU quand un seul des composants de la ligne de mouillage est au-dessus de ses capacités mécaniques.
En pratique pour votre chaine en galvanisé de 10mm annoncée à 5 tonnes de rupture, à 1 250kg de tension sur le mouillage, sa CMU est dépassée, vous n’êtes plus en sécurité.
Même chose quand vous installez une élingue de 18mm avec une charge de rupture à plus de 6 tonnes, ça va tenir vous pensez ! Et bien non, passé 933 kg de tension la ligne est considérée comme dépassée, cela correspond à un coefficient d’utilisation de 6.5 pour le polyamide squareline !
2) Les liaisons.
2.1 La liaison ancre chaîne
Fait couler beaucoup d’encre… sur les forums de discussions des plaisanciers. Entre les partisans de la robuste manille lyre en galvanisé et les pratiques des systèmes à émerillons en inox.
Est bien sûr exclue la manille inox, et pour les risques électrolytiques, et pour sa sensibilité aux chocs.
2.1.1 Les classiques manilles galvanisée (grade 40) ont des performances modestes : une manille de 10 mm à une CMU à 320 kg, quatre fois moins résistante que la chaine de 10mm du même métal. Il faudrait une manille lyre d’au moins 20mm d’émerillon pour approcher la CMU de notre classique chaîne de 10mm : impossible à introduire dans le maillon de la chaine de 10 qui offre un espace de 13.5mm en norme ISO 4565, et 12mm en norme DIN 766
Il faut donc passer à autre chose, ce sont les manilles galva HR. Voici ce que propose par exemple la corderie Gautier : https://www.cordagesgautier.com/manilles-acier-hr.html


Encore mieux : c’est ce que propose la manille Force 7, c’est le summum de la liaison galvanisée HR : Cette Omega grade 70 qui s’adapte bien au davier par son dessin sans aspérité a des caractéristiques impressionnantes en s’introduisant sans problème dans une chaine de 10mm. Le modèle recommandé pour cette chaine de 10 a un boulon de 12 mm avec une CMU à 2 800 kg et une charge de rupture à plus de 11 tonnes !
On pourrait, à la limite, se contenter d’un boulon de 8mm avec une CMU à 1 792 et une CR à plus de 7 tonnes.

Et je dois reconnaitre que, confiant dans les conseils de mon ami Patrick de La Perichole, il m’arrive parfois d’avoir des remords de ne pas l’avoir, à son exemple, adoptée aussi une manille galvanisée.
En tout cas c’est aussi le Choix de Pierre Lang à bord de Thoe, avec un manillon 6 pans bloqué au frein filet.
2.1.2 Pour les défenseurs du système articulé qui permet un passage dans l’écubier plus aisé, les chiffres de résistance apparaissent très attirants pour le néophyte. Si la « Wasi power ball » pour une chaîne de 10mm annonce une CMU à 16 000kg et une rupture à 64 000kg, il est plus difficile de connaitre les données techniques du système Osculati qui avoue lui aussi une rupture à 64 tonnes, ça laisse de la marge !


Tout comme j’ai prévu à bord de PretAixte des liaisons entre câblot et chaine à l’aide de manille textile en dyneema, on rappelle que 1 brin de dyneema de 4mm, SK78 de chez Lancelin, assure une charge de rupture de 1 250 kg, on peut réaliser un transfilage en dyneema et ainsi assurer cette liaison entre l’ancre et l’émerillon inox qui présente un risque non nul de rupture. En particulier si la chaîne fait un angle de 90° avec l’ancre et que celle-ci est fermement décidée à ne pas bouger. L’option du transfilage de sécurité que j’ai adoptée pour l’instant, je ne suis pas le seul à en avoir eu l’idée, pour s’en convaincre une petite balade sur les pages de : https://www.yachter.fr/pdf/download/la%20pratique%20du%20mouillage.pdf
L’auteur a mis au point avec la société Cousin un manille textile de sécurité. Joli !

2.2 Les liaisons chaîne cordage.
Pour faire simple : il faut absolument éviter les nœuds qui réduisent la résistance du cordage de 25% à 50%.
Le nœud de chaise réduit la résistance du cordage de 25%, le nœud de cabestan comme le nœud de tête d’alouette de 35%… Il faut donc lui préférer l’épissure, qui, bien faite ne réduit que de 10% à 20% la résistance du cordage.
Ensuite le bout épissé peut être relié à la chaine :
2.2.1 Soit de façon permanente, idéalement avec une manille, qui peut être textile et dont la résistance est monstrueusement plus importante que le métal à condition bien sûr, mais cela est une lapalissade, que la jonction ne racle pas le fond. C’est l’option que j’ai choisi à bord de PretAixte pour rallonger, si besoin est, la chaine par un câblot de 18mm et de 20mètres. Soit bien sûr par une manille galva HR correctement échantillonnée.
2.2.2 Soit de façon transitoire, lorsqu’on utilise un amortisseur par exemple, et la liaison est une manille textile ou une main de fer, c’est cette option que nous adoptons. La main de fer Osculati, est reliée aux trois amortisseurs qui relâchent la tension du mouillage sur le guindeau pour la transmettre aux taquets.


2.2.3 L’alternative ou la solution d’urgence pour la jonction transitoire est le nœud de bosse sur chaîne. Utilisé couramment aussi bien sur Thoé qu’à bord de Balthazar, exceptionnellement sur PretAixte.

3) Les lignes.
3.1 La chaîne.
Il y a chaîne et chaîne. Je m’étonnais que celle de PretAixte soit sévèrement rouillée à certains endroits après le tour du monde, elle n’avait que cinq ans après tout. Interrogé mon ami Patrick qui vit à bord de La Perichole à St Martin FWI rigole : « C’est que tu ne mouilles pas assez souvent, je remplace la mienne tous les deux ans… », même son métallique de la part de Thomas, notre ami autrichien à bord d’Adrienne pratique le charter intensivement et faisait partie du WARC : « Notre chaîne à trois ans, nous l’avons changée avant de partir, elle commence à avoir des difficultés à rentrer dans le guindeau, je vais la changer ».
L’eau tropicale chaude et salée, c’est agréable pour le bain, pas pour le métal…
Alors pourquoi pas une chaîne en inox ? réponse unanime de tous ceux qui connaissent un peu la métallurgie : si l’inox à une charge de rupture plus élevée que l’acier galvanisé, il est moins élastique et plus sensible aux chocs. En d’autres termes mieux vaut voir les maillons se déformer que la chaîne ou la manille cassée.
En ce qui concerne les chaînes galvanisées :
Celles que l’on nous propose sont des Grade 40 à savoir qu’elles opposent une résistance de 40kg/mm2, on a déjà donné ses caractéristiques : 5 tonnes de rupture, CMU à 1250kg.
La chaîne HR Grade 70 affiche des performances très supérieures : 11 tonnes de rupture, CMU à 2750 kg, les mêmes caractéristiques que la fameuse manille Force 7. Ces chaînes HR ont une traçabilité et sont éprouvées. Les chaîneries limousines garantissent une traçabilité et un test pour chaque chaîne à 50% de la charge de rupture : ça rassure ! Elles sont plus chères d’environ 40%, elles permettent un gain de poids et de volume de 30% en passant à un diamètre inférieur, ou de rallonger le mouillage pour le même poids .
Pierre Lang est partisan de la Grade 40, Frederic Dallest de la Grade 70, chacun avec des arguments recevables.
Pour moi je regrette, quand nous avons changé la ligne de mouillage, d’être resté au Grade 40. Le surcout vaut la sécurité que promettent une manille et une chaîne Force 7. Sur les tableurs, en simulant pour PretAixte, toutes choses égales par ailleurs le mouillage peut être considéré comme fiable, en dessous de la CMU de la chaîne :
Jusque 30 nœuds, rafales à 40 nœuds avec une chaîne de grade 40.
Jusque 45 nœuds rafales à 60 nœuds avec une chaîne de grade 70
La différence de prix peut se justifier !
3.2 Le textile
3.2.1 Polyamide et Polyester
Le Polyamide c’est le nylon®, le polyester c’est le dacron®. Ce sont les deux matériaux proposés aussi bien comme amarre que comme mouillage, ils ont cependant des caractéristiques bien différentes comme on peut le voir dans ce tableau comparatif donné par Cousin-Trestec pour un cordage polyamide 3 torons et un cordage polyester 3 torons, et enfin une ligne de mouillage plombée polyester
On remarquera là aussi que les lignes plombées de 12mm proposées par différents fournisseurs doivent avoir un diamètre supérieur de près de 50 % au polyamide à charge de rupture égale.

Pour ce qui est du mouillage un seul matériau semble s’imposer : Le polyamide, il a les caractéristiques élastiques recherchées pour limiter la traction lors des surventes et des embardées.
Nous avons par contre le choix entre le classique trois torons et le huit torons : le squareline par exemple.
Le cordage trois torons est facile à épisser, à un allongement de 10 % à 25% de la charge de rupture, il correspond bien à notre plage d’effort et c’est lui que préfèrent Balthazar comme Thoé. Il semble en tout cas incontournable pour un mouillage mixte. En dépit de sa reprise en eau.
Le cordage huit torons est plus élastique avec un allongement linéaire proche de 14%, exclu pour cette raison par Frederic Dallest, c’est cependant celui que nous utilisons comme amortisseur « de base », on expliquera pourquoi.
4) Synthèse des lignes et liaisons.
Avoir une ligne trop faible qui ne tient pas le coup c’est dommage, mais emporter avec soi un mouillage de porte conteneur ou de porte avion n’est guère envisageable.
De même avoir un câblot ou un amortisseur qui cassera avant la chaine est plus que regrettable, mais installer une ligne textile dont la CMU est supérieure à celui de la chaîne fait perdre tout l’avantage de l’élasticité attendue et c’est la chaine qui risque de faiblir avant le bout’.
Ainsi, dans ce domaine le « trop fort n’a jamais manqué » est contreproductif, Il faut donc de la mesure…
Nous allons dans un tableau tenter de résumer les différents éléments d’une ligne afin qu’elle soit homogène en termes de CMU, on peut l’étalonner pour une chaîne de 10 grade 40, mais aussi pour les mouillages secondaires en grade 40 ou 70 et repérer les échantillonnages concordants des quatre constituants : première liaison, chaine, deuxième liaison, câblot ou amortisseur.

On voit par-là que les propositions de mouillage de nombreuses firmes associant une chaîne de 10mm grade 40 (CMU 1 250kg) et un câblot 3 torons de 16 mm (CMU 769 kg) est un défi à l’échantillonnage, même si les charges de ruptures sont identiques !
5) Et l'ancre dans tout ça ?
Le sujet du choix du type d’ancre sera abordé ultérieurement. Mais puisqu’on s’intéresse à la tenue et à l’échantillonnage, comment répondre à la question : quel poids d’ancre pour mon bateau ?
Classiquement la réponse était donnée par des tableaux des différents constructeurs d’ancre : à tel poids de bateau correspond telle ancre.
Et puis au tournant du siècle il y a eu la déflagration de la Fortress, l’ancre plate en aluminium qui faisait mieux que des ancres quatre à cinq fois plus lourdes ! Les travaux d’Alain Poireau, inventeur de la Spade la première ancre charrue concave vers le haut, arrivent à la même conclusion : La surface utile de l’ancre est aussi importante que son poids.
Pour notre usage on remarquera que se munir d’une ancre pesant cinq kilos de plus que celle prescrite par le constructeur correspond seulement à 2 mètres de chaine de 10mm supplémentaire. Il n’y a donc aucune hésitation : il faut surdimensionner l’ancre en prenant une taille au-dessus de la recommandation, c’est aussi l’opinion de Frederic Dalest et de Pierre Lang. Ce conseil ne vaut pas pour le XC 42 et la Spade, la correction a été effectuée à notre retour !
Pour conforter son choix on peut se rendre sur le tableur d’Alain Fraysse : http://alain.fraysse.free.fr « dimensionnement du mouillage d’un voilier », déterminer les paramètres du bateau, de la ligne de mouillage, du vent et de la profondeur maxima. Les résultats attendus sont : les poids minima de l’ancre et la longueur minima de la ligne. Pour PretAixte par exemple le poids minimal requis pour l’ancre avec 60 mètres de chaîne est de 25 Kg : CQFD !

vous recommande